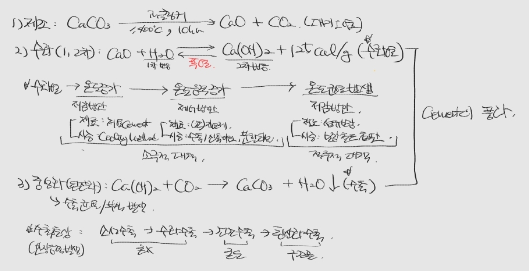
□ 콘크리트 ○ 명사 시멘트에 모래와 자갈, 골재 따위를 적당히 섞고 물에 반죽한 혼합물로 시멘트의 수화반응을 통해 강도가 발현되어 굳어지는 재료 콘크리트는 인간에게 의식주 중 주를 해결하는 데에 있어 1등 공신인 재료이다. 특히, 철근과 열팽창계수가 거의 같아 인장력을 담당하는 철근과, 압축력을 담당하는 콘크리트를 통해 튼튼한 구조물 형성이 가능하다. 시멘트 제조 과정에서 많은 이산화탄소 발생과 석회 소진과 같은 환경적이지 못한 부분이 있지만, 이를 고로슬래그, 플라이애쉬 등과 같은 재료 등으로 산업부산물 재활용을 통하여 조금은 더 친환경적으로 발전하고 있다. 1. 콘크리트 가. Con'c의 요구 조건 1) 굳지 않은 Con'c: Workability(작업성: 작업 용이성 + 재료 분리 저항성), Fi..