□ 콘크리트
○ 명사 시멘트에 모래와 자갈, 골재 따위를 적당히 섞고 물에 반죽한 혼합물로 시멘트의 수화반응을 통해 강도가 발현되어 굳어지는 재료
콘크리트는 인간에게 의식주 중 주를 해결하는 데에 있어 1등 공신인 재료이다. 특히, 철근과 열팽창계수가 거의 같아 인장력을 담당하는 철근과, 압축력을 담당하는 콘크리트를 통해 튼튼한 구조물 형성이 가능하다.
시멘트 제조 과정에서 많은 이산화탄소 발생과 석회 소진과 같은 환경적이지 못한 부분이 있지만, 이를 고로슬래그, 플라이애쉬 등과 같은 재료 등으로 산업부산물 재활용을 통하여 조금은 더 친환경적으로 발전하고 있다.
1. 콘크리트
가. Con'c의 요구 조건
1) 굳지 않은 Con'c: Workability(작업성: 작업 용이성 + 재료 분리 저항성),
Finishability(마무리성: 반죽질기 등에 따르는 마무리하기 쉬운 정도)
Pumpability(펌프 압송성: 유동성 + 압송성)
2) 굳은 Con'c: 강도 + 내구성 + 수밀성 + 강재 보호 성능 (+ 균질성)
3) 경제성에 대한 고려도 필요(VE)
나. Con'c의 Mechanism

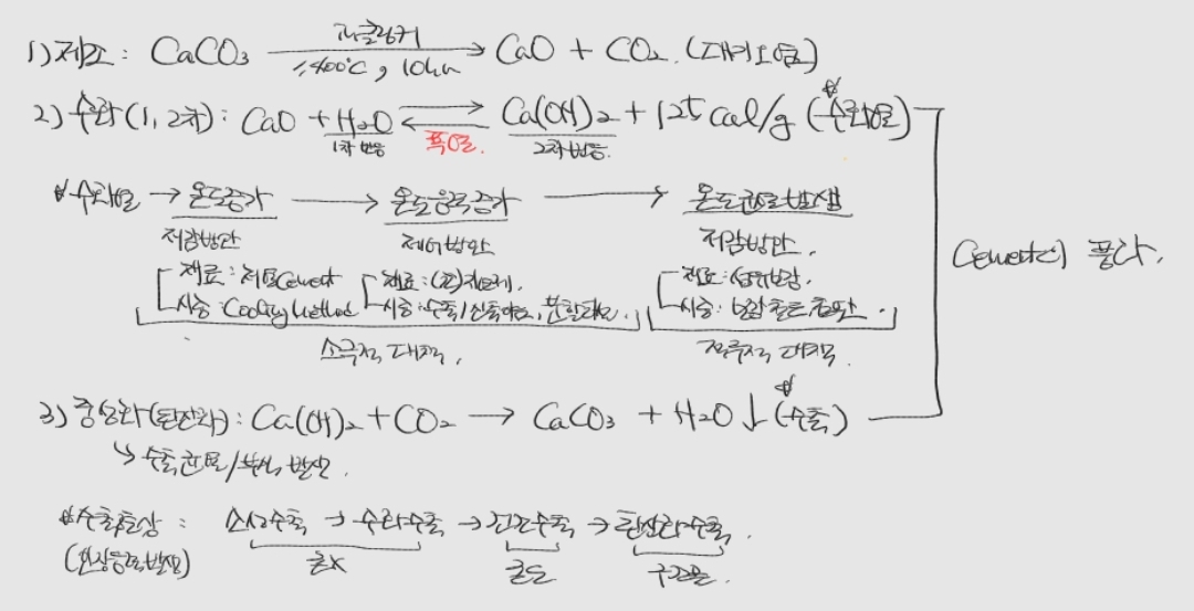
2. 콘크리트는 시멘트의 수화를 통해 강도를 발현한다. 따라서 고강도 콘크리트일수록 수화열에 대한 대책을 고려해야 한다.
1) 재료: 혼화재(고로슬래그, 플라이애쉬 등), 저열 Cement 사용
2) 배합: 단위시멘트량 ↓, S/a ↓, 고성능감수제 사용
3) 시공: Pre-Cooling(각 골재 2℃당, 물 4℃당, 시멘트 8℃ 당 콘크리트 1℃ 영향)
Post-Cooling(Pipe-Cooling), 혼합수에 얼음 투여 등
3. 물결합재비(W/B)
가. 콘크리트에 미치는 영향
W/B ↑ - W ↑ - Con'c 내부 - Bleeding ↑ - 내적: 철근 부착성 및 수밀성 ↓
- Channeling ↑ - Sand Streak, Laitance, Crack ↑
- B ↑ - 경제성 ↓
- 수화열: 온도↑ → 온도응력↑ → 온도균열↑
W/B가 크다는 말은 단위수량 W가 크다는 말로 높을수록 압축강도, 점성이 작아지고 유동성은 커진다. 물이 많아지므로 블리딩 발생도 많아지고 철근 부착성, 수밀성은 떨어지며 Sand Streak, Laitance, Crack이 발생하게 된다.
나. 물/결합재비에 영향을 주는 요인
1) 재료: Cement(결합재), 성능개선재(혼화재, 혼화제), 골재, 채움재(보강재; 강재, 섬유재)
2) 설계: 규격, 치수 - 강도, 내구성, 수밀성, 강재보호성능
3) 배합: Gmax, S/a, Slump
4) 시공: 계량, 비비기, 운반, 타설, 다짐, 양생, 이음, 마무리
'기술사 공부' 카테고리의 다른 글
| 콘크리트의 배합(배합의 원칙, 기준, 발전방향 + 기본의 중요성) (0) | 2023.02.18 |
|---|---|
| 콘크리트의 재료 중 골재(+모듈화, 미래) (1) | 2023.02.17 |
| 콘크리트의 재료 중 혼화재료(+경제성, 그리고 적당히) (0) | 2023.02.16 |
| 콘크리트의 재료 중 골재(+경제성) (0) | 2023.02.15 |
| 콘크리트 구조물의 수화열(수화반응, 요인, 발생과정+대책) (1) | 2023.02.14 |